Ad Widget

Collapse

HPE Aruba 1930 interfaces showing (near) identical values

Collapse
X
 
  • Time
  • Show
Clear All
new posts
  • Ebayzo
    Junior Member
    • May 2021
    • 2

    #1

    HPE Aruba 1930 interfaces showing (near) identical values

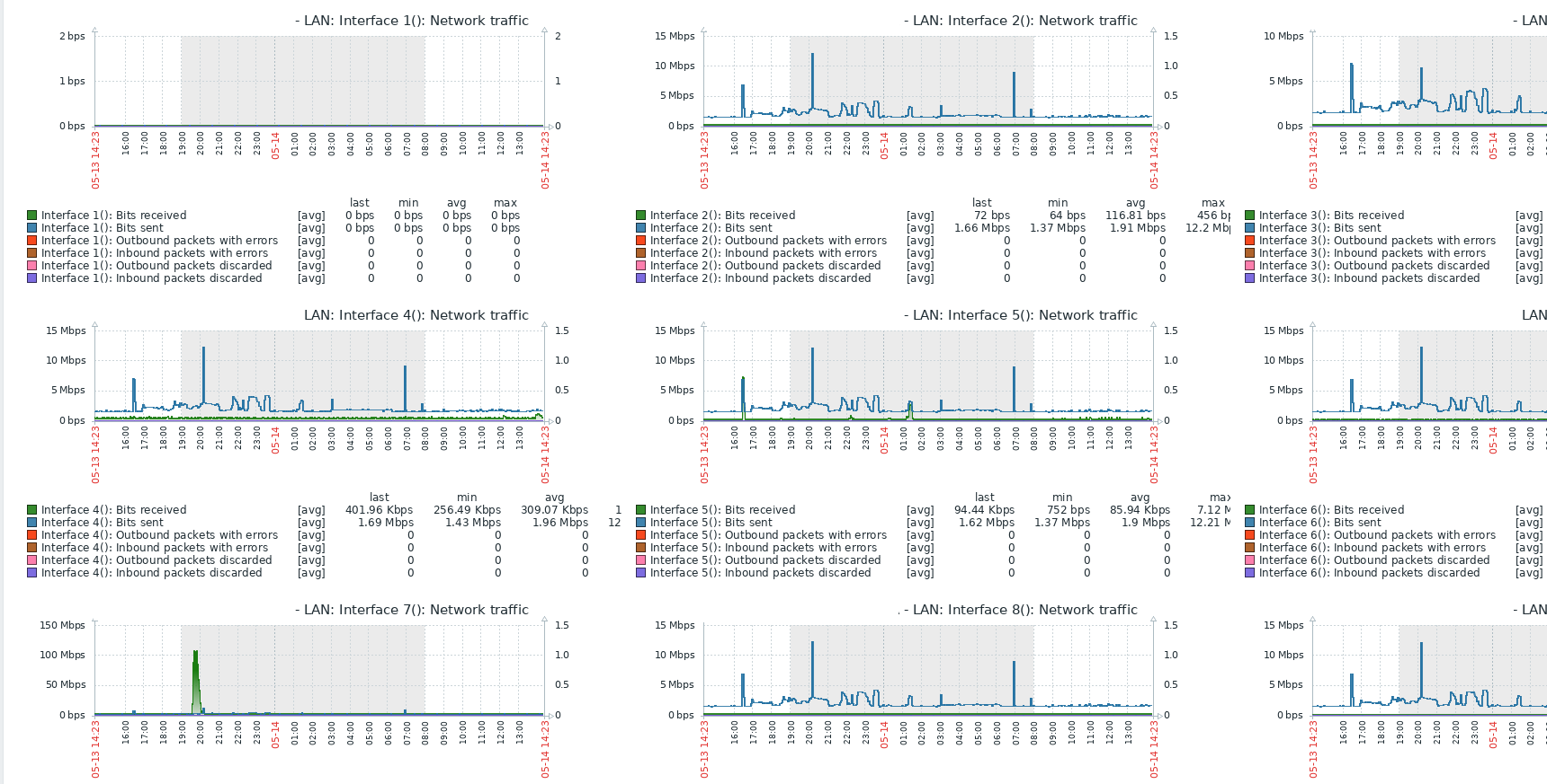
    Hi guys, i recently added some HPE Aruba 1930 switches to Zabbix using the Template Net HP Enterprise Switch SNMP template. Al seemed fine until i started connecting several endpoints to the switch. Several (20+ from the 48 ports) interfaces are showing (near) identical graphs on the Bits sent values.

    It seems like a SNMP data / reporting error. Anyone seen this before?

    Example below. There are even more interfaces with the same Bits sent graph in the same period. Not only with this low load, but also under higher load these graphs stay the same. Pretty weird.

    Click image for larger version

Name:	tempsnip.png
Views:	4701
Size:	123.7 KB
ID:	424640
  • Markku
    Senior Member
    Zabbix Certified SpecialistZabbix Certified ProfessionalZabbix Certified Expert
    • Sep 2018
    • 1784

    #2
    It's outgoing traffic, so my guess is that you have some host(s) broadcasting traffic in the network. That means the same traffic will go to whatever switch port is up and in the same VLAN as the sender.

    If you want to inspect the traffic, connect a host with Wireshark (or similar) to a port in the same VLAN and see what you get.

    Markku

    Comment


    • Ebayzo
      Ebayzo commented
      Editing a comment
      I was thinking this too at first. But this also happens while graphs go up to 800mbit/s. Seems a lot of broadcast to me.

      Guess im following your advice with Wireshark to be sure.
Working...